foversta[PuristSPro Moderator]
20814
A story of power reserve (some maths inside)
As you know, Lange has released 5 new calibers this year. If we forget the ones of the complicated watches (Zeitwerk Acoustic and Richard Lange Tourbillon PLM, they all have a 3 days power reserve.
This is without any doubt a trend at Lange: during many years, the 72 hours power reserve was only dedicated to the Lange 1. Moreover, the power reserve of the automatic calibers couldn't exceed the 46 hours limit.
Lange could not miss the following expectations from the market:
- higher power reserves in order to leave the watch during the week-end without having the need to set the time again
- more automatic watches for the more affordable watches
These expectations are not mine... I much prefer handwind movements and frankly speaking, I don't really care about short power reserves: winding a Lange watch every day is a true pleasure!
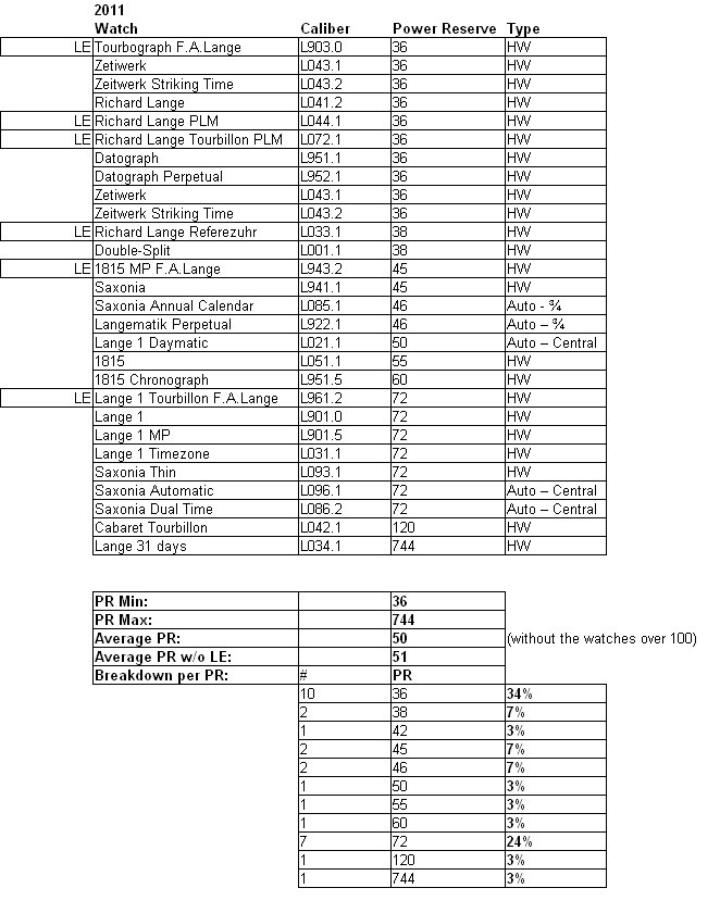
I remember that several years ago, one of the main criticisms sent to Lange was the breakdown of the collection per power reserve. In fact in 2001, we had roughly 3 types of power reserves:
36 hours for the Datograph
around 45 hours for the simple watches, automatic or handwind --> the main part of the collection
72 hours for the Lange 1
If we forgot the Lange 1, there was no watch with a power reserve higher than 2 days.
5 years later... the context was the same even if the collection was much bigger and with a better spread breakdown
But now, things have changed a lot.
- Two watches with more than 100 hours of power reserve are in the collection: the Cabaret Tourbillon (5 days) and the 31 days.
- Even if we forget these two watches, the average power reserve of the permanent collection (excluding the Limited Editions), reaches now 51 hours against 46 hours in 2001 (+11%)
- The share of the calibers with 36 hours of power reserve is, paradoxically higher than ever: a third part of the collection.
- New power reserves are available: 50,55,60 hours
- More calibers reach the 3 days of power reserve including two automatic ones
- If you forget the very specific caliber of the Cabaret Tourbillon, there is no caliber between the 3 days and the 31 days of power reserve.
The last point may surprise us a lot. But it is logical due to the strategy of Lange. We may think that after the release of the Lange 31 days, some calibers will get a power reserve of around one week.
But with the Lange 31 days, the technical team worked more on the topic of the constant force which is required with a very large power reserve rather than on the pure topic of the power reserve duration: power yes, power reserve not exactly... the knowledge gained thanks to the development of the Lange 31 days is very useful for watches like the Zeitwerk which need a lot of power to work. This control of energy is and will be used by Lange not to increase more the power reserve but to imagine very demanding complications.
The big and heavy Lange 31 days:
The Cabaret Tourbillon:
Sadly, there is a negative side if we look at the current collection: the automatic caliber with 3/4 rotor can be found only in two watches. And I'm not sure if it will be still used for the Langematik Pepetual in the future due to the higher power reserve of the central rotor movement.
I hope that in the future collection, several watches with this 3/4 rotor will remain: they are a part of the Lange story, they are a part of its DNA if I must say that. Efficiency is great but in the world of mechanic watches, the beauty, the charm of the caliber is a very important factor. On the opposite, the caliber of the new 1815 chronograph is a real improvement: it has a higher power reserve (60 vs 36) without losing its lay-out. But due to the presence of the date system, it seems that this move is more complicated to be achieved with the Datograph.
The new 1815 chronograph caliber. You can easily recognize them thanks to the balance wheel. The new one uses counterweights.
The old one:
Anyway, the objective of the post was to share with you my thoughts about this power reserve trend I've observed for many years at Lange. Step by step, Lange is changing the structure of its collection by offering a larger range of power reserves. I felt that the average power reserve was increasing, I wished to get the proof of this feeling, it is the reason why I made these hereafter calculations.
(LE means Limited Edition).
2001/2002 data:

2006/2007 data:

2011data. Please note that I removed the Cabaret. The Cabaret is still present inside the Lange website but is removed from the latest Lange catalogue.
Central rotor caliber:
3/4 rotor:
I hope you didn't find this post too boring !

Fx
This message has been edited by foversta on 2011-05-01 11:45:05